CGEL Database
The China's Global Environmental Leadership database is the first and the most comprehensive database that gathers granular data on cross-border environmental governance initiatives led by Chinese state and non-state actors in the 21st century. The database collects in a systematic manner key information on the efforts made by Chinese actors to lead governance initiatives to address different environmental issues and through different channels including multilateral, bilateral, transnational initiatives. The first version of the database includes 29 variables.
The full database will be published shortly, for those that wish to use it please contact us at sgain@bath.ac.uk
For citation, use the following:
Sun, Y., Ye, Y., Li, J., O’Brien, C., Ya, X., & Zhao, H., 2025. China's Global Environmental Leadership (CGEL) Database - Version 1.0. SGAIN Project. University of Bath.
The unit for analysis in the CGEL database is a governance initiative. Therefore, the following guidelines are used to determine which initiatives are eligible for inclusion:
1
Governance initiatives during the period 2000 to 2024, including cases that started prior to 2000 and ended before 2024
2
Governance initiatives must involve substantial actions. It must involve steering and be recognised as authoritative by the individuals and organizations that constitute its network
3
The initiative should primarily aim to address environmental issues, or have environmental issues as one of its key concerns
Initiatives that do not involve any non-Chinese actors, or have no activity beyond China's borders should be excluded
The initiatives should be co-created by a Chinese actor, or their operation is mainly led by Chinese actor
4
5


Temporal Evolution of Chinese-led initiatives across governance levels and scales
China has become increasingly active in leading cross-border environmental governance, with state agencies driving this expansion. The widening spatial footprint reflects not only the diversification of China’s environmental partnerships but also its growing ambition to shape global environmental agendas.
Preliminary Findings


Governance functions across multiple levels
‘Information sharing’ and ‘Capacity-building’ emerged as key emphases. In contrast, the provision of funding remains consistently limited, setting China apart from traditional aid-based models of environmental cooperation.


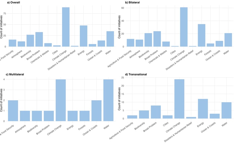
Environmental problems targeted by these initiatives across levels
China’s efforts to lead global environmental governance primarily focus on climate change (30%), followed respectively by energy (16%), water (12%). Meanwhile, around 11% of the initiatives in our database address broad environmental issues without having a specific focus.


Geographies of major international collaborators
China’s international partners exist in all world regions, with the US, European countries (including the European Union) and Russia as key partners.


Initiatives’ geographical coverage by region
Until the mid-2000s, Chinese-led environmental initiatives were highly concentrated in Asia and Europe. Since the late 2000s, their reach has expanded to other regions and increasingly adopted a global scope. Notably, around 40% of the initiatives established since the mid-2010s operate at the worldwide level, reflecting China’s growing ambition to engage in global environmental governance.


